Using Turf Pigments on Golf Greens. How Long Do They Last?
The use of turf pigments and green grass paint on golf greens is now standard practice at many clubs. These prolong the healthy appearance of turf by giving an immediate long lasting, natural green colour. They act as green grass paint. In 2023 we ran a trial of 6 commercially available turf pigments and turf colourants. The site was mowed at 3.5mm and is a bentgrass green. It is a 4 replicate treatment. Growth potential was 100% for the duration of the trial. We are intrigued to find out if some claims hold up in this intensively managed situation.
Products tested were:
| Product | Rate ml/Ha |
|
580 |
| 2. Flex pigment (Endurant) | 4677 |
| 3. Vertmax Duo (Gilba Solutions) | 1000 |
| 4. Vertmax (Gilba Solutions) | 1000 |
| 5. Ryder pigment (Syngenta) | 1000 |
| 6. Ambient Plus (Simplot) | 1200 |
| 7. Untreated Control | 0 |
Two criteria were tested for measuring the use of turf pigments and the use of grass paint on golf greens. Dark Green Colour Index (DGCI) on a scale of 0-1 and Turf quality on a scale of 1-9. The results are shown graphically below but the key take home messages are:
- Over the duration of the trial there were significant differences between the treatments by days after treatment (DAT). Treatment 1 gives significantly higher colour readings than Treatment 5.
- The Flex and Ambient Plus treatments gave the highest overall DGCI readings for the duration of the trial.
- Ryder Plus gave the lowest DGCI readings.
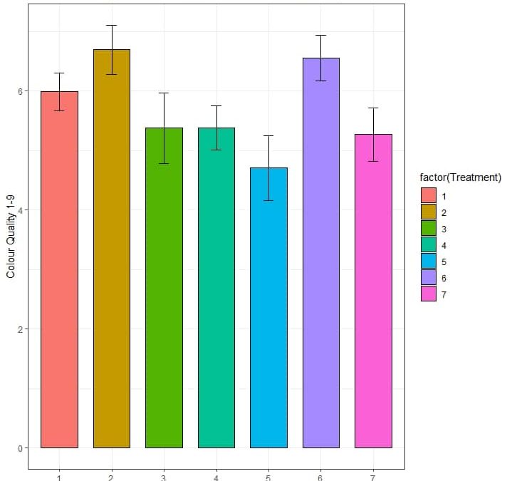
- This pattern was repeated with Colour Quality readings with Flex and Ambient Plus giving the highest readings.
- Once again, Ryder pigment gave the lowest Colour Quality readings.
- All the treatments, DGCI tapered off in effect after about 12-14 days.
The use of turf pigments on golf greens
Results
- Over the duration of the trial there are no significant differences between any of the turf colourant treatments.
- The Flex and Ambient Plus treatments give the highest overall DGCI readings for the duration of the trial.
- Ryder Plus gives the lowest DGCI readings.
- This pattern repeats with Colour Quality readings with Flex and Ambient Plus giving the highest readings.
- Once again, Ryder pigment gives the lowest Colour Quality readings.
- All the treatments, DGCI taper off in effect after about 12-14 days.
Discussion of results
- The use of turf pigments on golf greens doesn’t appear to extend their longevity. No doubt the combination of 100% growth potential plus regular mowing reduces the lifespan of these.
- This contradicts some claims of turf colour longevity of up to 3 months. In defense of these, however, this might be the case on a fairway or sport turf situation where mowing is not so frequent and when these are applied to warm season turf growth is limited.
- Colour is perceptual. So your choice of pigment is very much a personal choice. Try a few until you get the response that your happy with.
- The best way to make a choice is on two criteria. The cost per application and what the turf pigment you use on your golf greens actually does.
- All of the products tested are turf pigments but only one has plant elictors and surfactants incorporated into the formulation. That’s Vertmax Duo which gives the benefits of a turf pigment coupled with an increase in biotic and abiotic stress tolerance. This is explained in more detail in our blog on salicylic acid for plants. The fact that this can also be tank mixed with fungicides and other turf chemicals should also be taken into consideration.
- Cost wise there is a massive difference in price. These range from $38/Ha to well over $100/Ha.

Jerry Spencer
Jerry has an Hons Degree in Soil Science (1988) from Newcastle Upon Tyne University. He then worked as a turf agronomist for the Sports Turf Research Institute (STRI) until 1993.
He gained a Grad Dip in Business Management from UTS in 1999. He has held a number of technical roles for companies such as Arthur Yates (Commercial Technical Manager) and Paton Fertilizers (Organic, turf specialty and controlled release fertiliser) portfolios.
In 2013 he established Gilba Solutions as independent sports turf consultants and turf agronomists. Jerry has written over 100 articles and two books on a wide range of topics such as Turf Pesticides and turfgrass Nutrition which have been published in Australia and overseas.
